Ordenamiento territorial con evaluación multicriterio Dos herramientas para pensar alternativas al desarrollo.

Florencia Estefania Fernandez

El proyecto estudió la mejor alternativa de tres escenarios de posibles de uso del suelo en el departamento de Huiliches, provincia de Neuquén. Se combinaron herramientas de la economía ecológica para incorporar valores ambientales y culturales además de los económicos, con herramientas en sistemas de información geográfica. Con dichas herramientas se generó un escenario productivo actual, un escenario futuro que siguió las estrategias de desarrollo actuales, y otro escenario alternativo donde se modificaron e incorporaron actividades que buscan transformar las propias bases ideológicas del desarrollo. El fin último de este proyecto es proponer nuevas prácticas de manejo y nuevas actividades que, además de generar ganancias monetarias, respeten los ciclos naturales y los diversos valores culturales. Esta información pretende ser una herramienta fundamental para abordar estrategias de transición hacia otro estilo de desarrollo más armónico con la naturaleza y, por lo tanto, con la sociedad.

Ordenamiento territorial con evaluación multicriterio

Dos herramientas para pensar alternativas de usos del suelo

en el Noroeste Patagónico Argentino

 

Territorial ordering whit multi-critera assessment

Two tools to think soil usage alternatives in the Argentinian Patagonian Northwest

 

Florencia Estefanía Fernández | ORCID: orcid.org/0000-0003-1105-1906

ffernandez@gro.uba.ar

Universidad de Buenos Aires

 

Argentina

 

Recibido: 20/03/2020

Aceptado: 08/05/2021

 

Resumen

El proyecto estudió la mejor alternativa de tres escenarios de posibles de uso del suelo en el departamento de Huiliches, provincia de Neuquén. Se combinaron herramientas de la economía ecológica para incorporar valores ambientales y culturales además de los económicos, con herramientas en sistemas de información geográfica. Con dichas herramientas se generó un escenario productivo actual, un escenario futuro que siguió las estrategias de desarrollo actuales, y otro escenario alternativo donde se modificaron e incorporaron actividades que buscan transformar las propias bases ideológicas del desarrollo. El fin último de este proyecto es proponer nuevas prácticas de manejo y nuevas actividades que, además de generar ganancias monetarias, respeten los ciclos naturales y los diversos valores culturales. Esta información pretende ser una herramienta fundamental para abordar estrategias de transición hacia otro estilo de desarrollo más armónico con la naturaleza y, por lo tanto, con la sociedad.

 

 

Palabras Clave: Evaluación multicriterio, Desarrollo alternativo, Ordenamiento territorial, Economía ecológica, Transición.

 

Abstract

The project studied the best alternative of three scenarios of possible land use in the department of Huiliches, province of Neuquén. Ecological economy tools combined were to incorporate environmental and cultural values as well as economic ones, with tools in geographic information systems. These tools generated a current productive scenario, a future scenario that followed the current development strategies, and another alternative scenario where activities that seek to transform the ideological bases of development modified and incorporated were. The ultimate goal of this project is to propose new management practices and new activities that, in addition to generating monetary gains, respect natural cycles and diverse cultural values. This information is intended to be a fundamental tool to address strategies of transition towards another style of development more harmonious with nature and, therefore, with society.

 

 

 

 

Keywords: Multi-criteria evaluation, Alternative development, Territorial planning, Ecological economy, Transition.

 

 

 

 

Introducción

 

 

 

La transformación de pastizales, bosques y humedales en sistemas agrícolas y urbanos afecta en la actualidad al 40-50% del territorio mundial (sin considerar la superficie cubierta de hielo). Esta es la mayor amenaza para la biodiversidad, seguida por el cambio climático y la introducción de especies exóticas (Devoto et al., 2014). A nivel internacional se alerta sobre una actual ola de extinciones masivas, sobredisfuncionalidades ecológicas a escala planetaria tales como el cambio climático, alteraciones en los ciclos del fósforo y nitrógeno y la acidificación marina (Gudynas, 2015). Esto implica el riesgo de deterioros ecosistémicos encadenados, a gran escala y posiblemente irreversibles (Gudynas, 2015).

En América del Sur se siguen acumulando los más diversos impactos ambientales, que incluyen la contaminación, la deforestación, el deterioro de la calidad ambiental en las ciudades, y la desaparición de especies nativas (Gudynas, 2010).

En la Patagonia Argentina el ritmo de forestación está aumentando a razón de 10.000 ha por año desde 1998 (Schlichter y Laclau, 1998; Premoli et al., 2005). En este sentido, y dadas las leyes que fomentan la instalación de plantaciones forestales mediante aportes económicos no reintegrables y beneficios fiscales del Estado, Argentina puede seguir los pasos de Chile, donde grandes extensiones de bosques nativos han sido sustituidos por especies exóticas de crecimiento rápido (CONAF y CONAMA, 1999). Las forestaciones generalmente incluyen especies exóticas de rápido crecimiento, por ejemplo de los géneros Pinus y Eucalyptus (Devoto et al., 2016), donde sus principales impactos ambientales derivan de su gestión intensiva, que suele realizarse a una escala industrial y con una estructura de monocultivo.

En el noroeste de la Patagonia, más de 2 millones de hectáreas son consideradas como potencialmente aptas para las plantaciones del género Pinus (SAGPyA, 1999). El ecotono entre la ecorregión Bosques Andino-Patagónicos y la ecorregión Estepa es una de las zonas más utilizadas para este fin y otras actividades productivas, dado que presenta condiciones muy favorables para el crecimiento de las especies mencionadas (Schlich­ter y Laclau, 1998). En la ecorregión Estepa Patagónica predomina una vegetación herbácea con un alto valor de conservación, ya que poseen algunos de los sitios con biodiversidad más destacada en el mundo.

El gran potencial de expansión de la actividad en la región y la percepción creciente de que las plantaciones de pino constituyen desiertos verdes (Devoto et al., 2016) han impulsado una serie de estudios sobre las posibles consecuencias de esta actividad sobre las comunidades de plantas y animales de la región. Para la región NO de Patagonia, la implantación de macizos de pino está asociada a la reducción de la riqueza y abundancia de pequeños mamíferos (Lantschner et al., 2011), la reducción de la riqueza de coleópteros (Devoto et al., 2016), la reducción de la abundancia y riqueza de hormigas , el aumento de la riqueza de especies exóticas invasoras, y cambios en la composición de la comunidad de aves (Lantschner et al., 2008) o reducciones de su riqueza específica (Devoto et al., 2016). A raíz de las consecuencias del monocultivo de pino, la cual consideramos una actividad extractivista en expansión, el presente trabajo busca proponer formas de uso del suelo alternativas. Esto no implicaría prohibir el monocultivo sino potenciar alternativas que incluyan una trama de actores sociales y políticos dispuestos a confrontarlas (Gudynas, 2011).

Estas alternativas incluyen cambios de manejo, en donde se realicen prácticas sustentables, lo cual implica producir de una manera más armónica con el ambiente. Como medida de transición se puede discurrir en un plano de rectificar y reformar las estrategias actuales, como por ejemplo mejoras en el manejo que implique cambiar de plantaciones densas a plantaciones ralas. Es decir, cambios y ajustes necesarios para reducir y minimizar los costos sociales y ambientales, mejorar su contribución económica y abrir posibilidades para cambios más profundos (Gudynas, 2012). Sin embargo, un análisis detallado de esta postura muestra que ofrece serias limitaciones, ya que persistirían muchos de sus impactos sociales, económicos y ambientales. Por este motivo se vuelven necesarios cambios mucho más profundos, que involucran no solo ajustes en actividades extractivas específicas, sino que se deben repensar las propias estrategias de desarrollo que dan sentido a emprendimientos que implican una transformación sustancial del ambiente (Gudynas, 2011).

En el presente trabajo se desarrollará la construcción de tres escenarios:

 

  • El Escenario Actual, donde se presenta las actividades principales actuales del departamento.
  • El Escenario Business as usual, donde se tomará como supuesto que los ritmos actuales de las actividades principales se mantienen en el tiempo (mediano plazo).
  • El Escenario futuro alternativo, donde se buscará proponer algunas actividades potenciales dentro del departamento.

 

Este último incorporará una perspectiva de de­sarrollos alternativos como los ajustes indicados más arriba y simultáneamente alternativas al desarrollo. Estas últimas no sólo pretenden cambiar las prácticas, sino que buscan transformar las pro­pias bases ideológicas del desarrollo, y nuestras concepciones sobre la calidad de vida, el crecimiento económico o el consumo (Gudynas, 2011).

 

 

 

Evaluación multicriterio

como herramienta de la economía ecológica

 

En situaciones reales, la planificación territorial enfrenta varios objetivos, a veces contrapuestos entre sí, con más de un criterio para evaluar alternativas posibles que por una parte pueden resultar óptimas para un objetivo pero subóptimas para otro (Romero y Rehman 2003).

Esto implica sumar al análisis económico tradicional (usualmente la rentabilidad o la utilidad) otros valores a tener en cuenta en un análisis multicriterio para la satisfacción del ser humano, para resolver problemas de varias dimensiones en los que la económica es sólo una de ellas (Román, 2004).

Los principios de economía ecológica requieren mantener la independencia de los criterios con sus respectivas unidades de medida, a diferencia de economía convencional, que propone traducir los diferentes criterios sociales, ambientales y económicos en términos de pérdidas y ganancias monetarias. De esta manera estamos incorporando la idea del uso múltiple del territorio y podemos mostrar las consecuencias de las decisiones en sus múltiples facetas (Tsakougmagkos 2006).

Por otra parte la economía ecológica, también apunta a romper la concepción clásica de la dicotomía que existe entre sociedad y naturaleza. Como por ejemplo los agroecosistemas que, como explica Sarandon (2011) son considerados áreas dedicadas casi exclusivamente a la producción de alimentos y fibras, mientras que el mundo natural conservaba la biodiversidad y los otros atributos o funciones ecosistémicas.

 

 

 

Ordenamiento territorial

 

El Ordenamiento Territorial Rural (OTR) es un proceso político-técnico-administrativo orientado a la organización, planificación y gestión del uso y ocupación del territorio (MAGyP, 2012). Sin embargo, muchas veces se da de manera desorganizada, sin tener en cuenta las características y restricciones biofísicas, culturales y socioeconómicas (Medina et al., 2014).

Por este motivo el presente artículo refuerza el concepto de biorregión, lo cual considera que un ordenamiento territorial debería contribuir a mejorar las condiciones de vida. Por esta razón es necesario conservar los servicios ecosistémicos y los sistemas productivos delimitando las actividades productivas según las características geográficas, ecológicas y sociales para promover un modelo de desarrollo territorial equilibrado y sostenible (Moran, 2017).

En primer lugar, será necesario identificar los elementos estructurantes del territorio (sistemas agroforestales, pastizales naturales, bosques, etc). Luego, evaluar el estado de sus recursos para definir los requerimientos que apunten a mantener o recuperar su capacidad reproductiva. Para ello deberán establecerse escalas espaciales y temporales de protección y criterios de explotación definiendo los usos y actividades permitidas (Moran, 2017).

El enfoque biorregional del ordenamiento territorial apunta al aumento de la autonomía regional (energética, alimentaria, económica, etc.) a partir de la diversificación de las actividades económicas. Las mismas tienen que pensarse en función de la capacidad local y adaptación ecológica buscando su integración en los ciclos naturales maximizando la proximidad entre recursos y procesos económicos. En la misma línea, buscar entrelazar economías circulares, reforzando vínculos con comunidades que tengan cocimiento y apego del territorio (Moran, 2017).

 

 

 

Diagnóstico

 

 

 

Área del estudio

 

El estudio de los tres escenarios se llevará a cabo en el departamento de Huiliches (prov. de Neuquén), que cuenta con una superficie de 4012 km2 y una población de 15403 (INDEC, 2007).

 

 

Figura 1. Ubicación del departamento de Huiliches en la provincia de Neuquén (Elaboración propia)

 

Imagen4199.PNG 

 

Caracterización espacial

y zonificación agroecológica

 

Escenario Actual

 

Mapa 1. Escenario actual del uso del suelo en el departamento de Huiliches (Neuquén)

Imagen4207.PNG 

Fuente elaboración propia en el software QGis.

 

 

Para zonificar el escenario actual se procedió a utilizar el programa QGis. Se utilizaron las capas de Catastro, Ordenamiento Territorial de Bosques Nativos (OTBN) y la de Parques Nacionales. Las mismas fueron facilitadas por el Laboratorio de Análisis Regional y Teledetección de la FAUBA.

Para corroborar lo que se había observado en QGis y hacer más específica la zonificación, se procedió a realizar una fotointerpretación de imágenes de Google Earth. Se delimitó el departamento y, a partir de ello, se realizó una caracterización visual de las diferentes coberturas del mismo. A grandes rasgos, en una primera caracterización se pudo observar la heterogeneidad existente en base a la vegetación presente ya que, por un lado, se encuentra la Estepa y, por el otro, los Bosques Andinos Patagónicos. Se observó que la mayor parte de los bosques nativos estaban protegidos por el Parque Nacional Lanín y la categoría roja de la Ley de Bosques, por esta razón se caracterizó el uso del suelo de la zona con el nombre de conservación. En cuanto a la categoría amarilla se supuso que la misma no pertenecía a la categoría conservación debido a que estas áreas está permitida la extracción de madera y esta misma es aprovechada por algunas comunidades mapuches (Stecher, 2011).

Para continuar con la zonificación del resto del departamento, debido a la falta de información geográfica sobre los usos del suelo y vegetación, se analizaron los datos de las actividades agropecuarias del departamento con la información provista por el Censo Nacional Agropecuario 2008. En el análisis encontramos que las actividades más importantes son la ganadería bovina, representando el 14,75% de cabezas de la provincia de Neuquén y la actividad forestal, representado un 15% de territorio de la provincia, seguida por la ganadería ovina con el 5% de cabezas. El resto de las actividades son despreciables en cuanto a representatividad de la provincia. Para terminar con la zonificación se localizaron y marcaron las plantaciones de pino en Google Earth. En la zona donde se observaron muchos lotes de plantaciones densas se caracterizó como “plantaciones de pinos densas” y en donde se observaron muchas plantaciones ralas y algunas densas, se caracterizó como plantaciones ralas y densas. Mientras que la Ganadería extensiva se supuso que se encontraría en las zonas con mayor presencia de mallines, por su capacidad de soportar gran presión de pastoreo (debido a su productividad) y en zonas donde la estepa no había sido transformada para realizar plantaciones de pinos.

 

 

 

Materiales y métodos

 

Caracterización socioeconómica

 

El estudio de los tres escenarios se llevará a cabo en el departamento de Huiliches provincia de Neuquén, con una población de 12.700, siendo 2,6% de la provincia de Neuquén. La población urbana es del 81% y la rural, del 19% (INDEC, 2006).

Los indicadores socioeconómicos nos muestran mejores estándares para Huiliches comparándolos con Aluminé y la provincia en su conjunto. El NBI (necesidades básicas insatisfechas) es de 23,9%. La población económica activa (PEA) 5.217, la población ocupada (PO) 4.175 y la tasa de desempleo, 15,5%. La tasa de mortalidad Infantil 0,007 % y de analfabetismo 7%. Los Establecimientos Educativos son aproximadamente 40 (Elaboración propia en base a datos INDEC, 2006).

Las comunidades Mapuche establecidas en Huiliches conforman la mayor proporción de la población rural del departamento y constituye el mayor porcentaje de hogares Mapuches de la provincia. La comunidad linares es la comunidad mapuche del Departamento Huiliches más extensa y mayormente poblada, por lo cual es foco de atención permanente por parte de varias organizaciones y el estado (Stecher, 2011). En el Departamento se encuentran los territorios de seis comunidades mapuche, dos en jurisdicción de Parques Nacionales y cuatro en jurisdicción provincial.

Las superficies correspondientes a las comunidades de jurisdicción provincial son de 7.488 ha para la comunidad Linares, 4.721 ha para la Comunidad Atreico, 5.144 ha para la comunidad Chiquilihuin, 9.717 ha para la comunidad Painefilu y para las comunidades de Raquithue y Cañiculde con jurisdicción de Parques Nacionales no se encontraron datos de la superficie de sus tierras (Confederación Mapuche Neuquina, 2007).

En cuanto a generación de empleo del departamento según un informe del INTA del 2002, las plantaciones de pinos en Neuquén generan entre 0,354-0,487 puestos de trabajo por hectárea. Estos valores corresponden al empleo directo en las forestaciones desde la producción de plantines al turno. La particularidad de la actividad forestal es el extenso intervalo de tiempo entre una actividad y otra (Chauchard, 2012).

El salario para esta actividad en el año 2006 según un informe del INTA de Esquel, estación más cercana que encontramos al departamento de Huiliches, rondaba entre $63,5 por día en una jornada de 9 hs para un peón no especializado y $73,5 para un técnico especializado (INTA, 2006). Para las actividades de poda y raleo se calcula que el 30% es técnico especializado y el 70% no especializado (INTA, 2006).

En cuanto a la ganadería extensiva, según un informe del INTA de Esquel, la estación más cercana a Huiliches necesita 13 peones para un establecimiento de 1390 ovejas. El salario del peón por mes al año 2006 es de 35$ por día.

 

 

Caracterización social

 

El mosaico socio-rural que se observa en el Departamento se encuentra conformado por grupos de actores bien diferenciados:

 

  • Estancieros, mayormente ganaderos empresarios: propietarios de grandes extensiones de tierra. Estos se encuentran representados por la Sociedad Rural y poseen importantes vínculos con estamentos del gobierno provincial lo que les permite alcanzar importantes espacios de poder. Estos sujetos poseen propiedades en otros departamentos o fuera de la región (Stecher, 2011), lo cual les permite complementar sus ciclos productivos de cría, engorde y comercialización.
  • Mapuches forestadores: representa treinta familias, equivalente al 14% de la población de la comunidad. Terminaron por alambrar áreas de mayor superficie a las acordadas ocupando pastoreos de otros, además de apropiarse de mallines de uso comunitario. Estos pasaron de percibir un pago como contratado por la actividad forestal a incorporarse como empleados de la planta permanente de la Provincia de Neuquén. Además no solo obtuvieron mejores condiciones monetarias sino también un fuerte posicionamiento de poder y prestigio (Stecher, 2011)
  • Mapuches no forestadores: representa al 86% de la comunidad que continuó con el mismo manejo productivo que practicaban desde hacía años (Danklmaier, 2005). Estos se opusieron al modelo impuesto de cerramientos individuales, no sólo por ser contrarios a las formas de vida comunitaria de los pastoreos como forma de producción, sino también por los efectos simbólicos que representa para su cosmovisión la plantación con especies exóticas. Esta postura fue invisibilizada por los organismos públicos proponentes del proyecto (Stecher, 2011).
  • Dirección de Bosques Provincial: aportó los materiales e insumos (alambrados y plantas) y el pago en jornales, como retribución por el trabajo realizado por los miembros de la comunidad.
  • INTA: Encargado de formular el Proyecto de Desarrollo Rural Integral en Comunidades del Sur de Neuquén - Reconversión Ganadero - Forestal (DRI) (Stecher, 2011).
  • Artesanías Neuquinas: principal canal de ventas y consolidando su postura hegemónica en la relación artesanos-mercado.

Su misión tal como se expresa desde la empresa es Revitalizar el valor cultural que posee el trabajo artesanal (Artesanías Neuquinas, 2010).

  • Programa Social Agropecuario y Fundación Cruzada Patagónica, Fundación UNMAY: Se encargaron de conformar grupos de artesanos a fin de fortalecer la organización para la producción y la comercialización. Su rol fue el rescate y capacitación en la elaboración de artesanías en plata y cerámica, además de la búsqueda de pre-financiamientos bajo la forma de microcréditos solidarios grupales, para facilitar la compra de insumos (Stecher, 2011).
  • Estado provincial neuquino: Cedió campos fiscales que eran utilizados como área de pastoreo por campesinos criollos e indígenas a la empresa mixta CRFONE. La intervención del Estado en las comunidades de este Departamento, en particular en la agrupación Linares, se encargó de determinar los cambios productivos y han modificado conductas hacia formas de reproducción dependientes del clientelismo político (Stecher, 2011).
  • Autoridades judiciales y fuerzas represivas: produjeron procesos de desalojo en los territorios donde se ejecutaron las primeras forestaciones, esto es génesis de conflictos aún hoy irresueltos (Stecher, 2011).
  • Campesinos (criollos): se posicionan con desconfianza frente a la propuesta “alternativa” de producción forestal, ya que existe una percepción fundada de que la forestación está asociada a procesos de desalojo y pérdida territorial (Stecher, 2011).
  • CORFONE S.A.: (Corporación Forestal Neuquina) Una empresa mixta creada en 1974 que adquirió campos fiscales que eran utilizados como área de pastoreo por campesinos criollos e indígenas. La misma comenzó a expandir la forestación con pino a principios de los 90.
  • Rio Negro online: Diario más leído en Neuquén, promueve la forestación como desarrollo provincial.

 

 

 

Sociograma

En base a todo esto, a continuación se presenta el sociograma realizado para el departamento de Huiliches (figura 1), donde se incluyen los actores relevantes, las relaciones, las posiciones, los intereses y los distintos grados de poder respecto al modelo de desarrollos Neuquino: expansión de la actividad forestal.

 

 

Figura 2. Sociograma del partido de Huliches

Imagen4215.PNG 

Fuente: Elaboración propia en base a los datos obtenidos de bibliografía.

 

Caracterización ambiental

 

El departamento incluye porciones de dos ecorregiones: la ecorregión Bosques Subantárticos, en el oeste del departamento, y la ecorregión Estepa Patagónica, en el centro-este, ambas ecorregiones comprenden una diversidad de ambientes muy contrastantes.

En base a las características fisonómico-florísticas los sitios se encuentran en el distrito fitogeográfico Occidental (Cabrera 1976; Soriano, 1956), caracterizado por poseer una estepa herbáceo-arbustiva baja, de una altura media de 0,35 m, biestratificada, de Mulinum spinosum, Senecio filaginoides, Stipa ssp, Festuca pallescens y pequeños bosquecillos aislados de árboles y arbustos (Movia et al. 1982).

En el contexto actual del departamento Huiriches los cambios que producen las plantaciones sobre la biodiversidad están determinados, básicamente, por el reemplazo de la vegetación original y la homogeneización de la estructura y composición vegetal (Rusch et al., 2008). Cuando las plantaciones reemplazan a otros bosques nativos (como el de ciprés o ñire), los cambios son menos profundos que si reemplazan estepas. Los cambios en el sotobosque son menores si el dosel presenta coberturas similares al ecosistema original, ya que las especies presentes están adaptadas a niveles de sombra similares. En cambio en el caso de las estepas la modificación de la estructura y composición de la vegetación nativa es muy fuerte, donde sólo sobrevivirán las especies vegetales más tolerantes a la sombra o en los casos en que el dosel arbóreo permita la entrada de luz (Rusch et al., 2008). La conservación de los elementos del sotobosque resulta esencial dado que cumple múltiples funciones en el ecosistema como son la protección del suelo de la erosión, el aporte de materia orgánica para la generación de nutrientes, actúa como refugio, zona de anidamiento, fuente de alimento para diversas especies de fauna, mantiene o mejora la resiliencia y resistencia general del sistema ante perturbaciones como el fuego (Rusch et al., 2008).

 

 

 

Riqueza de sotobosque

según cobertura de bosque

 

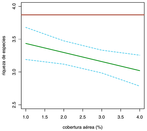
A continuación podemos ver un gráfico que muestra la riqueza de especies del sotobosque en donde se realiza ganadería extensiva y donde se realiza plantaciones de pinos de diferente cobertura aérea. Se observa que la diferencia en la riqueza entre la ganadería extensiva (línea marrón) y las plantaciones (línea verde) se va incrementando a medida que se incrementa la cobertura aérea.

 

Grafico 1. Efecto principal (línea verde con intervalo de confianza en celeste) de la cobertura aérea (unidades en la escala de la función link del MLGM) sobre la riqueza de especies.

Se incluye el valor de referencia de la ganadería extensiva (marrón) (Devoto et al., 2016).

 

Imagen4222.PNG 

 

 

Riqueza de polinizadores

según cobertura de bosque

 

A continuación podemos ver un gráfico de la riqueza de especies de polinizadores en donde se realiza ganadería extensiva y en donde se realiza plantaciones de pinos de diferente cobertura aérea. Se observa que la riqueza en plantaciones de pinos es mayor que en la ganadería extensiva cuando la cobertura arbórea es baja y menor cuando es alta.

 

 

Grafico 2. Efecto del aumento de la cobertura aérea sobre la riqueza de especies de polinizadores. El gráfico de caja de la izquierda muestra los valores de referencia de los sitios de ganadería extensiva (Devoto et al., 2016)

 

Imagen4231.PNG 

 

 

 

Planificación

 

 

 

Caracterización de Actividades Potenciales

 

 

Silvicultura: manejo silvícola del Bosque Nativo

 

Actualmente, si bien existen regulaciones para el manejo de bosques nativos para el departamento de Huiliches, uno de los problemas es que las intervenciones de los organismos de fiscalización son prácticamente nulas, razón por la cual no se aplican los parámetros dasonómicos de sustentabilidad que permitan un manejo adecuado del bosque (Stecher, 2011).

Estos bosques se encuentran dominados por formaciones (bosques altos) de lenga (Nothofagus dombeyi) y araucarias (Araucaria araucana) y montes bajos dominados por ñires (Nothofagus antarctica), acompañados por especies arbustivas y subarbustivas importantes en la vida familiar mapuche por su uso en la confección de artesanías y medicina (Stecher, 2011).

La comunidad Linares posee una superficie boscosa nativa de 1.459 ha que cubre el 25% de su territorio, mientras que en la comunidad de Chiquilihuin la superficie boscosa es de 2.585 ha, equivalente al 59% de su territorio (Stecher, 2011).

La propuesta de trabajo no termina en una mirada reduccionista que promueva la conservación absoluta ni el productivismo extractivo de la naturaleza, sino que pretende romper con la idea occidental dicotómica de la sociedad/naturaleza. Por esta razón consideramos como una alternativa al manejo sustentable de bosques nativos, lo cual implica seguir los ciclos ecológicos, simulando los procesos naturales a través de los cuales los rodales se regeneran, se desarrollan y reemplazan en forma gradual.

Luego, para definir una correcta gestión forestal y aprovechamiento sustentable de los recursos del bosque es necesario conocer, además del estado del mismo, su dinámica (régimen de disturbios y sucesión) y contar con información relacionada con sus procesos ecológicos, interacciones entre especies y procesos que aseguren su reproducción. Lo cual en este punto se debería complementar el conocimiento técnico con el manejo tradicional de las comunidades.

 

 

Ganadería sustentable

 

En la ganadería sustentable se proponen algunas herramientas técnicas que se deberían incorporar en las estrategias de manejo para revertir la degradación de los pastizales en los niveles de población, comunidad y paisaje. Aumentar la sustentabilidad ecológica de los pastizales de la estepa patagónica no implica necesariamente una reducción en la capacidad de carga ganadera. Por lo contrario, en varios casos podría ser aumentada (Golluscio, 1998).

Para desarrollar un manejo ganadero sustentable, lo ideal es cercar con alambrados pequeñas parcelas homogéneas. Para realizar esto será necesario la identificación y mapeo de las diferentes comunidades vegetales para optimizar el uso de los recursos forrajeros en tiempo y espacio. Luego, conocer su fenología, la cual nos indicará la oportunidad y duración del pastoreo al nivel de potrero. También es necesario el desarrollo de técnicas objetivas para la estimación de la capacidad de carga. Por último implementar métodos de pastoreo que confieran períodos de descanso a cada cuadro, para que promueven la recuperación del vigor de las plantas defoliadas (Soriano, 1956).

 

 

Agroecología con integración de plantas nativas

 

En esta actividad se promueve la agricultura y recolección basada en la vegetación característica de la zona. La recolección de plantas silvestres comestibles es una práctica común en la vida de algunas comunidades rurales actuales del noroeste de la Patagonia argentina (Ochoa y Ladio, 2015). En el trabajo de Devoto (2016) se relevó la vegetación característica de esta zona agroecológica perteneciente al ecotono entre los bosques andino-patagónicos y la estepa en el NO de la región patagónica, en las cercanías de Junín de los Andes, provincia de Neuquén. En el análisis de la vegetación del sitio hemos encontrado muchas especies comestibles y de uso medicinal que podrían ser de gran utilidad para autoconsumo y comercialización de los pobladores de la zona. Sobre las plantas de uso medicinal también existe un profundo conocimiento de las mismas por parte de los pobladores rurales (Ochoa y Ladio, 2015).

Uno de los grupos de especies encontradas pertenece a las plantas con órganos de almacenamiento subterráneo comestibles, caracterizadas por sus bulbos, rizomas, tubérculos, cormos y/o raíces engrosadas, (Ochoa y Ladio, 2015).

Otras de las especies patagónicas encontradas son los Berberis que se caracterizan por poseer un creciente interés por el uso frutícola. Por otra parte, cumplen un papel determinante en el control de la desertificación de la Patagonia, evitando los procesos erosivos de los suelos, a la vez que sus matas se convierten en el refugio de valiosas especies vegetales (Arena et al., 2000).

Por otro lado, también tenemos plantas medicinales, la cual tiene una dimensión simbólica y sagrada entre los pobladores Mapuche que excede, en muchos casos, lo comprendido por la medicina occidental.

Estos recursos han sido ignorados y abandonados por las distintas sociedades, hecho que pone en peligro el mantenimiento de estos conocimientos en las comunidades (Ochoa y Ladio, 2015). En el presente trabajo pretendemos brindar propuestas para revertir esta tendencia y promover el autoabastecimiento y estrategias de desarrollo regional.

A dicho proceso se deben incluir estudios de investigación relacionados a la implantación de las especies vegetales más adecuadas para mantenerla estructura y biodiversidad del suelo, lo que en definitiva supone el establecimiento de la cubierta vegetal que requieren las aves esteparias e invertebrados para vivir (García et al., 2007).

 

 

 

Escenario Business as usual

 

Escenario Business as usual, donde se tomará como supuesto que los ritmos actuales de las actividades principales se mantienen en el tiempo (mediano plazo).

 

Mapa 2. Escenario Business as usual en Huiliches, Neuquén

Imagen4238.PNG 

Fuente: elaboración propia en el software QGis.

 

Para su construcción nos basamos en la capa vectorial de OTBN y en la de Parques Nacionales del QGis. El área verde del mapa, llamada Conservación, corresponde a la Categoría I de la Ley N° 26.331 y al Parque Nacional Lanín. El área violeta corresponde a las plantaciones de pinos densas, la misma se delimitó con la combinación del escenario actual, donde la actividad forestal con especies introducidas es aún incipiente, tanto por la superficie forestada como por la edad de las plantaciones más importantes (Sarasola et al., 2006). A partir del escenario actual, se proyectó un crecimiento del área, debido a la tendencia creciente en el ritmo de forestación en la última década (Schlichter y Laclau, 1998) y la gran superficie disponible apta para las mismas, junto con un alto riesgo potencial que las especies introducidas invadan diversas comunidades de la región es alto (Raffaele et al., 2015). La probabilidad de que un proceso invasivo se concrete aumenta más aún si consideramos que ya existen antecedentes de que las especies introducidas a la región se han comportado como invasoras en otros países (Sarasola et al., 2006). Además, tenemos vacíos legales en cuanto a la regulación de prácticas de manejo o restricciones sobre la transformación del paisaje, de acuerdo con este punto las plantaciones pueden avanzar ya que para el marco legal no existen restricciones sociales y ambientales. Por el contrario, la Ley Nº 2.288 que promueve los bosques implantados a través de subsidios del Estado. Por todo lo descrito anteriormente consideramos que las plantaciones de pino avanzarán sin limitaciones y la Ganadería extensiva se mantendrá sólo en zonas marginales no aptas para la forestación debido a suelos pedregosos y de alta pendiente (Zalazar et al., s.f).

 

 

 

Escenario alternativo

 

Escenario futuro alternativo, donde se buscará proponer algunas actividades potenciales dentro del departamento.

 

Mapa 3. Escenario alternativo en Huiliches, Neuquén.

 

Imagen4247.PNG 

Fuente: elaboración propia en el software QGis.

 

 

Por último, se presenta el Escenario alternativo (mapa 3). Para su elaboración se utilizó la capa de OTBN y la de Parques Nacionales. El área de color verde se mantiene de acuerdo al Escenario Actual ya que el área se encuentra limitadas a actividades antropogénicas por la ley de bosques y parque nacionales. En cuanto a las prácticas forestales, se trató de mantener la misma superficie que en el escenario actual, pero con relocalización y cambios a prácticas más sustentables. Por un lado, se propuso la actividad Silvicultura o Manejo sustentable de Bosques Nativos (color lila), la cual se delimitó de acuerdo al área amarilla de la capa de OTBN. Por el otro lado se relocalizaron algunas de las Plantaciones de pinos que estaban situadas en el núcleo de la Estepa y en zonas pobladas. Se supuso que las zonas del ecotono entre bosque patagónico y la estepa, serían más afines para las plantaciones de pinos ralas, una situación intermedia entre la vegetación original y los pinares densos, tanto en ambiente de estepa como de bosque (Rusch, 2015). Además el ecotono presenta condiciones climáticas y edáficas favorables (Schlichter y Laclau, 1998). También se consideró que esta zona se encuentra alterada y no presenta sus características ecológicas originales, ya que tienen una historia de impactos de uso de fuego y ganadería extensiva (Rusch, 2015). Esta zona se delimitó al oeste con la actividad silvicultura, al sureste con la capa creada desde el Google Earth denominada mallines y al noreste con la estimación de la superficie destinada a las plantaciones de pinos del escenario actual. Es decir, el límite fue la equivalencia en superficie de pinos sembradas al escenario actual. Para la ganadería sustentable se utilizó la capa creada mallines, debido a su alta potencialidad para la ganadería. Al resto del departamento, se le denominó agroecología con integración de plantas nativas. Esta designación se hizo en base a la vegetación relevada en el informe de Devoto et al. (2016) en una parte del departamento de Huiliches, donde encontraron tanto plantas comestibles como de uso medicinal (Ochoa y Ladio, 2015) y en territorios pertenecientes a las comunidades Mapuches (ver Anexo 1).

 

 

 

Resultados y Discusión

 

 

 

Matriz de desempeño

 

La elaboración de una matriz de desempeño de las actividades primarias en función de los objetivos y/o criterios definidos previamente permite integrar toda la información recopilada y generada, con el objetivo de realizar un correcto planteo de escenarios y su posterior análisis multicriterio. Para llevar a cabo su formulación, en el presente trabajo se designaron diferentes valores a cada una de las actividades, en función de los criterios establecidos previamente. El rango de valores utilizado varió de 0 a 1, dependiendo de si la actividad contribuye poco o mucho (respectivamente) al cumplimiento de cada uno de los criterios.

 

Tabla 1. Matriz de desempeño de las actividades primarias del departamento de Huiliches

en función de los objetivos y criterios ambientales, sociales y económicos definidos para el mismo.

 

Objetivos

Criterios

Actividades 

Plantación

de pinos densa

Plantación

de pinos rala 

Ganadería extensiva 

(ovina y vacuna)

Silvicultura:

Manejo sustentable del Bosque Nativo

Ganadería

sustentable

Agroecología

con integración

de plantas nativas

Conservación de Bosque Andino Patagónico.

Ambiental

Aumentar la riqueza de aves, plantas de sotobosque y polinizadores nativos.

0,15

0,5

0,45

0,7

0,8

1

-

Aumentar la capacidad de regeneración de la vegetación original a partir del banco de semillas del suelo.

0,05

0,15

0,6

0,8

0,8

0.9

-

Social

Mantener las prácticas culturales, creencias de los pueblos originarios de la región.

0,2

0,2

0,7

0,8

0,5

1

-

Garantizar las necesidades básicas (ali­mento, vivienda salud y educación)

0,6

0,3

0,65

0,8

0,8

0,6

-

Económico

Aumentar la calidad y cantidad del empleo local.

0,6

0,55

0,65

0,55

0,65

0,75

-

 

Fuente: elaboración propia

 

 

Justificaciones y supuestos

de la Matriz de desempeño

 

A continuación, las justificaciones de las ponderaciones de cada actividad para cada uno de los criterios. Esta justificación ha sido elaborada a partir de la caracterización social, ambiental y económica, la cual se baso en la recopilación de información en libros y publicaciones científicas.

 

 

Criterio: Aumentar la riqueza de aves,

plantas de sotobosque y polinizadores.

 

Plantaciones de pinos densas (0,15). El incremento en cobertura arbórea y del área basal trae aparejada una caída significativa y gradual de la riqueza de especies del sotobosque, especies de polinizadores y la riqueza de aves (Devoto et al., 2016).

En el caso de las plantaciones de pinos ralas (0,5) los manejos más ralos con regulación de la duración de la rotación y con retención de la madera muerta en el piso del bosque son menos perjudiciales para el cumplimiento del aumento de la biodiversidad (Lindenmayer y Hobbs, 2004; Bro­ckerhoff et al., 2008). Además estas plantaciones dan mayor ingreso de luz y menor cantidad de piñas, ramas y pinocha (Devoto et al., 2016).

En la ganadería extensiva (0,45): la estepa se encuentra degrada por la excesiva presión del pastoreo, la cual es una de las principales causas de la desertificación de estas tierras (Gaitán et al., 2009).

Ganadería sustentable (0,8), suponiendo que el pastoreo se realiza según las condiciones propuestas en las actividades potenciales.

Con respecto al manejo sustentable del bosque nativo (0,7), bajo el supuesto de que en estos bosques se aplicase un correcto plan de manejo basado en simular los regímenes de disturbios naturales en cuanto al tamaño del área perturbada, la intensidad del evento, la frecuencia y el periodo de rotación. Esto podrá contribuir al aumento de diversidad bajo la hipótesis de disturbios intermedios, donde la diversidad es máxima bajo niveles intermedios de frecuencia e intensidad (Connell, 1978).

A la agroecología con integración de plantas nativas (1) le otorgamos el valor más alto, ya que se pretende aumentar la riqueza de vegetación nativas de la zona con el aprovechamiento de plantas silvestres comestibles y medicinales. Este aumento de riqueza en las especies vegetales conlleva a un aumento en la riqueza de polinizadores y de aves de la zona que dependen ecosistemas de pastizales como la estepa (Hartley 2002).

 

 

Criterio: Mantener la capacidad

de regeneración de la vegetación original

a partir del banco de semillas del suelo.

 

La cantidad de semillas germinadas de la muestra de suelo de los sitios donde hay plantaciones densas (0,05) fue relativamente baja (Devoto et al., 2016). Esta fuerte disminución se debe a que se acumula una capa de mantillo con un gran espesor, su lenta tasa de descomposición (Schlichter y Laclau, 1998; Raffaele y Schlichter, 2000) y la falta de luz limita fuertemente la germinación de las especies típicas de la estepa (Fowler, 1986).

En las muestras de suelo de los pinares ralos (0,15) fue relativamente bajo pero un poco mayor que en las plantaciones densas (Devoto et al., 2016). Esto se debe a que, a medida que aumenta la cobertura aérea, consecuentemente aumenta la cantidad de pinocha en el suelo, dificultando la emergencia de plántulas desde el banco de semillas.

En la muestra de suelo de la ganadería extensiva (0,6) el número y heterogeneidad de semillas germinadas en la ganadería extensiva fue mucho mayor que el registrado en las plantaciones (Devoto et al., 2016).

Con respecto al manejo sustentable del bosque nativo (0,8) bajo el supuesto de que en estos bosques se aplicase un correcto plan de manejo y en la prohibición de prácticas de floreo.

Ganadería sustentable (0,8) bajo el supuesto de que se deberá tener un plan de manejo que contemple una cuidadosa selección de los mejores métodos para la zona agroecológica donde se pretende realizar esta actividad y un monitoreo continuo del estado de la vegetación. Además se debe tener una actitud flexible para modificar la densidad ganadera bajo condiciones climáticas particulares (Westoby et al., 2009).

Agroecología con integración de plantas nativas (0,9), debido a que mediante el aumento de la cobertura vegetal se espera observar una mejora de las condiciones edáficas y favorecer así la recuperación espontánea de la vegetación, impidiendo que la escorrentía continúe afectando negativamente.

Dentro de la conservación no hemos otorgado valores, ya que para realizar el análisis multicriterio no es necesario: ocupa la misma superficie en los tres escenarios. Además hay una falta de datos sobre el estado actual de los bosques y el tipo de manejo que se está llevado a cabo.

 

 

Criterio: Mantener las prácticas culturales,

creencias de los pueblos originarios

y campesinos de la región.

 

A continuación se presentas las conclusiones de los testimonios de campesinos e indígenas pre­sentes en el departamento de Huiliches:

A las plantaciones de pinos densas le hemos otorgado un valor de 0,2. Debido a sus costumbres apunta a la producción de distintas especies (Stecher y Zalazar 2013) y su cosmovisión recrea una identidad indivisible entre la sociedad y la naturaleza, en donde la plantaciones de exóticas en altas densidades es sinónimo de destrucción de la naturaleza y por ende de la sociedad (Stecher y Valverde, 2012).

En cuanto a las plantaciones de pino ralas (0,2), consideramos que siguen una lógica parecida a las plantaciones densas pero con menor impacto cultural.

A la Ganadería extensiva (0,7) le hemos otorgado un valor de 0,7 debido que por un lado es actualmente una actividad tradicional de subsistencia tanto de campesinos originarios como criollos de esta región y promueve la inserción social de las culturas aborígenes (Gill, 2010). Sin embargo, antiguamente los pueblos mapuches tenían una matriz productiva era más diversa (Golluscio, 2010).

Con respecto a la ganadería sustentable (0,5), si bien la ganadería es una práctica tradicional para los campesinos criollos y de los pueblos originarios adaptadas en el siglo XIX, la misma no se realiza de manera sustentable, y esto último implicaría un cambio en las prácticas culturales de los pueblos con respecto a la capacidad de carga, el rango de tiempo y los momentos de rotación, etc.

En cuanto al Manejo silvícola del Bosque Nativo (0,8) las comunidades arraigadas al territorio podrán seguir utilizándolo el bosque para la subsistencia y seguir manteniendo su identidad mediante el aprovechamiento que vienen realizando de manera milenaria. Además, estos utilizan la madera extraída para elaborar artesanías donde ellos pueden reflejar su cultura.

La agroecología con integración de plantas nativas le hemos otorgado un valor de 1 debido a que las plantas silvestres comestibles mencionadas constituyeron recursos valiosos, tanto en términos simbólico, identitarios y sagrados como alimentarios en el pasado (Ochoa y Ladio, 2015).

 

 

Criterio: Garantizar el desarrollo humano de la

población (alimento, vivienda, salud y educación)

 

En cuanto a las plantaciones de pinos densas, ralas y ganadería extensiva se ha calculado el porcentaje comparando el mapa que elaboramos sobre las regiones agroecológicas con los promedios de los NBI y sus las superficies (ver Anexo 2) calculados a partir del mapa presente en el Visor SIG del Ministerio de Energia y Minería, en la información socioeconomica NBI (Necesidades básicas insatisfechas) del 2010. Dicho valor otorgado a cada una de estas actividades resulto de la comparación al promedio del departamento y de la provincia.

Ganadería sustentable (0,85): bajo el supuesto de que aumentara la producción ganadera, que aparte de la utilización de los animales para autoconsumo pueda generar excedente, el cual pueda ser comercializado localmente. Esto podrá mejorar las condiciones económicas para cubrir las necesidades básicas de la población.

Manejo silvícola del Bosque Nativo (0,8): esta actividad es considerada importante debido a la cantidad de artesanos que se dedican a ella, aproximadamente las dos terceras partes de las familias mapuches efectúan alguna clase de producción artesanal (Stecher, 2011). Esta actividad representa un ingreso a la economía familiar, el cual nos permite deducir que las necesidades básicas son satisfechas para la gran mayoría.

Agroecología con plantas nativas (0,6): el esfuerzo por mantener el conocimiento sobre plantas silvestres comestibles y la inclusión de las mismas en la dieta podría garantizar la seguridad alimentaria a nivel local y global (FAO, 1997). En cuanto a la salud, las plantas medicinales pueden satisfacer en parte algunas demandas, pero su dimensión simbólica y sagrada para los pobladores Mapuches excedería lo comprendido por los indicadores de lógica occidental como el NBI. Por otro lado, los excedentes los podría generar la agricultura con vegetación característica de la zona para satisfacción algunas necesidades.

 

 

Criterio: Aumentar la calidad y cantidad

del empleo local

 

Para el caso de plantaciones densas vamos a utilizar el rango máximo de jornales, lo que equivale a 0,487 puestos de trabajo por hectárea (Cortes y Laclau, 2002). Estos valores corresponden al empleo directo en las forestaciones desde la producción de plantines al turno. Este número lo multiplicamos por la cantidad de hectáreas de pino en el departamento (6.207) y lo dividimos por la edad de las plantaciones más viejas (40 años) (Bischoff, 2012), lo cual nos da un total de 76 puestos de trabajo de empleo directo.

Lo mismo para las plantaciones de pinos ralas y manejo de bosque nativo pero con 0,354 empleos por hectárea. Se supuso que la única diferencia entre ambas es el turno de corta de lenga, que es de 85 años para ambientes de buena calidad (Matinez et al., 2004). Esto nos da un total de 26 puestos de trabajo al año, a lo cual para el manejo de bosque nativos se le sumaron 20 operarios y 5 profesionales necesarios para la elaboración del plan de manejo (Chauchard et al., 2008).

En cuanto al salario, tomando los aspectos descriptos más arriba en la caracterización socioeconómica, para las actividades de poda y raleo se calculó un promedio de $66,55 por día. Suponemos variaciones despreciables para plantaciones ralas y manejo de bosque nativos.

La ganadería extensiva, según un informe del INTA de Esquel, la estación más cercana a Huiliches, necesita 13 peones para un establecimiento de 1.390 ovejas. Por lo tanto, sumamos la cantidad de cabezas bovinas (21.899), ovinas (8.294) y caprinas (4.733) del departamento y nos da un total de 34.926 cabezas. Entonces, si suponemos que la cantidad de peones necesaria para cada uno de los distintos ganados es la misma, esta actividad estaría generando 326 puestos de trabajo directos al año. El salario del peón al año 2006 es de $35 por día, al igual que en la ganadería sustentable (Observatorio de la Sostenibilidad en España y la Fundación Biodiversidad, 2013).

Para ponderar la Agroecología con introducción de plantas nativas se utilizó un promedio de la producción de hortalizas, que es de 1,5 personas /ha/año (Castro, 2017) y de producción de frambuesa, que es de 0,64 personas/hectárea como personal permanente (INTA, s/f), debido a que ambas se asemejan a los grupos de especies encontradas la zona agroecológica. Entonces, una superficie de 6.207 hectáreas nos da un total de 6.641,5 puestos de trabajo. Esto hay que multiplicarlo por 1,2, según un informe de la Fundación Biodiversidad y Observatorio de la sostenibilidad en España (2013). Una relación similar se puede constatar en el Informe de Empleos Verdes para un Desarrollo Sostenible, donde se demuestra que la agricultura orgánica, tanto de hortalizas como frutícola, representa una mayor demanda de empleo que las mismas actividades convencionales (Quiñones, 2016).

En cuanto al, salario vamos a considerar el mismo que para agricultura convencional. Para realizar la ponderación se tomó el precio de la canasta básica familiar para el año 2006 ($39,17 por día, según diario La Nación). Este valor lo ponderamos a 0,6 debido a que es un valor mínimo que se tiene que pagar para satisfacer las necesidades. Si no se llega a cubrir ese valor, su ponderación deberá ser inferior. Luego, hemos relativizado los salarios de las demás actividades a ese valor (Ver Anexo 3).

Para calcular la ponderación de la cantidad de empleo hemos dividido cada uno de los puestos de trabajo sobre el total de los puestos de trabajo generado por las tres actividades.

 

 

 

Evaluación multicriterio

 

 

Una manera de llevar a cabo esta metodología es mediante el proceso analítico-jerárquico, a partir del cual se realizan comparaciones de a pares para objetivos y criterios definidos previamente.

Los criterios se han definido en base a la recopilación de datos provenientes de diferentes disciplinas, cada una con diferentes enfoques teóricos, fuentes de disímil calidad y nivel de detalle (Mena et al., 2006). Se ha decidido ponderarlos en base a la recopilación e integración de trabajos realizados previamente.

Por otro lado, la valoración de los objetivos sociales, ambientales y económicos requiere además participantes y diversos actores con distintas valoraciones de los objetivos y prioridades para los usos posibles del territorio (Roman, 2014). Por este motivo se ha decidido ponderar con el mismo valor a los tres objetivos, otorgarle la misma jerarquía, a diferencia de las evaluaciones convencionales, que usualmente sólo valoran la rentabilidad. De esta manera se considera que las valoraciones no sean subjetivas y nos aproximemos a los juicios de valor que se logran por consenso de un equipo multidiciplinario.

Para la realización de esta evaluación, en una primera instancia para determinar el valor que cada uno de los criterios aporta a cada escenario, se promedió para cada criterio la multiplicación entre la ponderación y la superficie que destinan los diferentes escenarios a cada una de las actividades (ver anexos 4 y 5).

En base este resultado, se hizo una regla de tres simple para comparar de a pares, en la conocida como escala de Saaty. La regla de tres simple consistió en la diferencia entre las ponderaciones de cada escenario para cada uno de los criterios. Entonces, una diferencia de 0,9 es igual a un escenario 9 veces mejor.

 

Objetivos ambientales

 

Tabla 2. Comparación del comportamiento del criterio Aumento de riqueza en cada una de los escenarios

(Elaboración propia)

 

Aumento de riqueza

A

B

C

Media geométrica

Ponderación

A

1

2

1/6

0,69

0,15

B

1/2

1

1/7

0,41

0,09

C

6

7

1

3,48

0,76

Suma

7,5

10

1,31

4,58

1

 

 

Tabla 3. Comparación del comportamiento del criterio Aumento de resiliencia en cada una de los escenarios

(Elaboración propia)

 

Aumento de resiliencia

A

B

C

Media geométrica

Ponderación

A

1

2

1/5

0,74

0,17

B

1/2

1

1/6

0,44

0,1

C

5

6

1

3,11

0,72

Suma

6,5

9

1,37

4,29

1

 

 

Objetivos ambientales

 

Tabla 4. Comparación del comportamiento del criterio Garantizar las NB en cada una de los escenarios

(Elaboración propia)

 

Garantizar las NB

A

B

C

Media geométrica

Ponderación

A

1

1

1/2

0,79

0,26

B

1

1

1

1

0,33

C

2

1

1

1,26

0,41

Suma

4

3

2,5

3,05

1

 

 

Tabla 5. Comparación del comportamiento del criterio Mantener las prácticas culturales

en cada una de los escenarios (elaboración propia)

 

Prácticas culturales

A

B

C

Media geométrica

Ponderación

A

1

2

1/3

0,87

0,23

B

 

1

1/5

0,46

0,12

C

3

5

1

2,47

0,65

Suma

4,5

8

1.53

3,8

1

 

Objetivo económico

 

Tabla 6. Comparación del comportamiento del criterio Aumento de calidad y cantidad de empleo

en cada una de los escenarios (elaboración propia)

 

Aumento de cantidad

y calidad de empleo

A

B

C

Media geométrica

Ponderación

A

1

1

1/2

0,79

0,25

B

1

1

1/2

0,79

0,25

C

2

2

1

1,59

0,5

Suma

4

4

2

3,17

1

 

 

 

Simplificación

del proceso analítico-jerárquico

 

A partir del esquema anterior se presenta la siguiente tabla (Tabla 7) con los resultados obtenidos para el comportamiento de cada uno de los escenarios, en función de los criterios y objetivos establecidos.

 

Tabla 7. Valores finales para cada escenario

 

Escenario A (actual)

0.22

Escenario B (Business as usual)

0.19

Escenario C (diversificado)

0.59

 

Fuente: elaboración propia.

 

 

 

Conclusión

 

 

 

A modo de conclusión se puede afirmar que el escenario alternativo es mejor que el actual y el futuro, en tanto, como se ha mostrado en este trabajo, resulta sostenible y superador, ya sea en términos ambientales, como también sociales y económicos.

Será propósito de futuros trabajos realizar una evaluación que contemple un objetivo contrapuesto, como puede ser la rentabilidad económica de las actividades, la existencia de mercado o las regalías al estado provincial.

También se pueden abordar las contradicciones existentes en el accionar del Estado. Esto es debido a que por un lado existen subsidios a las plantaciones de pinos (Ley N° 2.288) las cuales no incluyen un manejo sustentable y afectan negativamente el ambiente (Raffaele, 2015) y por otro lado se implementan planes sociales y transferencias de ingresos destinados a la mejora en la infraestructura de comunidades mapuches que son afectadas por las mismas actividades promovidas (Stecher, 2011; Gudynas, 2012).

Se puede afirmar que en el conflicto en el departamento de Huiliches, además del carácter asimétrico de las luchas y la orientación de los gobiernos con el cual confrontan, existen otros obstáculos que se encuentran ligados a las diferentes cosmovisiones culturales y la concepción dominante del desarrollo como crecimiento económico (Svampa, 2011).

Por este motivo, es necesario proponer un ordenamiento territorial que siga la misma línea del presente artículo, el cual a través de la meto­dología de la evaluación multicriterio busca empoderar a la sociedad civil en la definición del modelo de desarrollo.

Es preciso asegurar la participación de las comunidades en los órganos de decisión y gestión, dotándolas de competencias para definir las reglas de transformación del territorio. Para ello, se sugiere que el grupo impulsor del ordenamiento territorial esté a cargo de convocar a los actores sociales y brindarles actividades que incluyan campañas de información, sensibilización y educación sobre las características, particularidades, alcance e importancia del OT. De esta manera los actores involucrados puedan comprender el proceso de OT y la necesidad de su participación para el abordaje de las problemáticas. Además se debe apuntar a lograr el compromiso y apoyo del sector político al proceso (Paruelo et al., 2014)

El OT que propone el artículo se realiza a partir del análisis de los intereses de los actores vinculados al territorio. Por lo tanto, se espera que ante la puesta en común de este proyecto, las resistencias sean menores.

En este mismo sentido se ha propuesto un escenario alternativo a los usos del suelo que podría ser posible si se cumpliesen las normas y regulaciones municipales, provinciales y nacionales en sus aspectos sanitarios, laborales, económicos y ambientales de manera urgente.

Por empezar, el cumplimiento de la Ley de Presupuestos Mínimos para Bosques Nativos es fundamental, en la cual se establecen líneas generales de los requisitos y procedimientos que deben cumplir los planes de manejo sostenible de los bosques. Esto también incluye la existencia de un correcto control y monitoreo por parte del estado. Por otro lado, es necesaria la aplicación del principio precautorio mencionado en la Ley General del Ambiente N° 25.675, ya que, como bien se ha mostrado, la transformación del paisaje puede conllevar a una pérdida de biodiversidad drástica. Esto debería aplicarse, al menos, hasta que se conozca con certeza cuál es el umbral de superficie de estepa transformada que aún mantenga la biodiversidad y que no implique un riesgo de pérdida masiva de especies que pueda llevar a la pérdida de servicios ecosistémicos muy valiosos para la sociedad. Además, en cuanto al cumplimiento de este principio podemos identificar un vacío legal sobre la regulación de prácticas de manejo o restricciones sobre la transformación del paisaje. Este vacío legal nos conduce hacia un escenario Business as usual.

 

 

 

Referencias bibliográficas

 

 

 

Arena, M. E., Peri, P. y Vater, G. (2000). Producción de frutos y crecimiento de Berberis heterophylla Juss en dos sitios de la Patagonia austral. Fundación Dialnet. Vol 16, 1-9.

Begon, M., Harper, J. L. y Townsend, C. R. (1999). Ecología: individuos, poblaciones y comunidades. España: Ediciones Omega.

Castro, A. (2017). Guía Didáctica de Horticultura y Floricultura Argentina. Argentina: Universidad Nacional de la Plata.

Chauchard, L., Castañera, S., Laclau, P., Loguercio, G., Pantaenius, P. y Rusch, V. (2008). Manual para las buenas prácticas forestales el Bosque Nativo de Norpatagonia. Argentina: CIEFAP.

CONAF y CONAMA (1999). Catastro y evaluación de recursos naturales en Chile. Chile: Universidad Austral de Chile.

Connell, J. H. (1978). “Diversity in tropical rain forests and coral reefs”. Science, N° 199, pp. 1302-1310.

Danklmaier, C., Stecher, G. y Valverde, S. (2005) “Efectos de los proyectos de desarrollo en poblaciones mapuche: el caso de la comunidad Linares de la provincia de Neuquén”. En Galafassi, G. D. (ed.) Desarrollo y sociedad: interacciones, procesos y conflictos. Argentina: Theomai.

Gaitán J. J., López C. R. y Bran, E. D. (2009). “Efectos del pastoreo sobre el suelo y la vegetación en la Estepa Patagónica”. Ciencias del suelo. Vol 27, N° 2.

Devoto, M., Zietsman, M., Montaldo, N. H., Cerezo, B. A., Tognetti, P. M. y Mazzia, C. N. (2014). “Impacto de las plantaciones de pino del NO de la región patagónica sobre la diversidad de plantas del sotobosque”. XXVI Reunión Argentina de Ecología. Asociación Argentina de Ecología Comodoro Rivadavia.

Devoto, M., Montaldo, N. H. y Tognetti, P. M. (2016). Informe final del PIA “Impacto de las plantaciones de pino del NO de la región patagónica sobre la biodiversidad: una evaluación estructural y funcional”. Argentina: Unidad para el Cambio Rural - Ministerio de Agroindustria.

Estomba, D., Ladio, A. y Lozada, M. (2005). “Plantas medicinales utilizadas por una comunidad Mapuche en las cercanías de Junín de los Andes, Neuquén”. Boletín Latinoamericano y del Caribe de Plantas Medicinales y Aromáticas Vol 4, Nº 6, pp. 107-112.

Fernández, L. J. (2012). La producción de hortalizas en Argentina. Secretaría de Comercio Interior. Recuperado de http://www.mercadocentral.gob.ar/ziptecnicas/la_produccion_de_hortalizas_en_argentina.pdf

García B., De la Fuente, M., Juana E., Lax L. M. C., Cirera, J. C., Delgado, I., Febregas, S. R., Pueyo, Y., Alados, M., Puga Y. y Leitslo, D. (2007). Restauración y mejora de zonas Esteparias. Manual de Desarrollo sostenible. España: Fundación Santander Central Hispano.

Golluscio, R. A., Deregibus, A. y Paruelo, J. M. (1998). “Sustentabilidad y manejo de pastizales en las estepas patagónicas”. Ecología Austral N° 8, pp. 265-284.

Golluscio, R. A. (2009). “Receptividad Ganadera:marco teórico y aplicaciones prácticas”. Ecología Austral N° 19, pp. 215-232.

Golluscio, R. A., Román, M. E., Cesa, A., Rodano, D., Bottaro, H., Nieto, M. I., Betelú, A. y Golluscio, L. A. (2010). “Aboriginal settlements of arid Patagonia: Preserving bio- or sociodiversity? The case of the Mapuche pastoral Cushamen Reserve”. ELSEVIER, Vol. 74, pp. 1329-1339.

Guarnaschelli, A. B. (2014). Curso producción forestal: Regeneración de Bosques. Argentina: Universidad de Buenos Aires. Facultad de Agronomía.

Gudynas, E. (2010). “Si eres tan progresista ¿Por qué destruyes la naturaleza? Neoextractivismo, izquierda y alternativas”. Ecuador Debate, N° 79, pp. 61-81.

- - - - - - (2011). “Más allá del nuevo extractivismo: transiciones sostenibles y alternativas al desarrollo”. En Wanderley, F. (ed.) El desarrollo en cuestión: Reflexiones desde América Latina. Bolivia: CIDES-UMSA y Oxfam.

- - - - - - (2012). “Estado compensador y nuevos extrac­tivismos”. Nueva Sociedad, N° 237, pp. 128-146.

- - - - - - (2015). Derechos de la naturaleza. Ética Biocéntrica y políticas ambientales. Argentina.

Hartley, M. J. (2002). “Rationale and methods for conserving biodiversity in plantation forests”. Forest Ecology and Management, N° 155, pp. 81-95.

INTA (s/f). Producción de frambuesa. Sistema de Información Patagonia Norte. Recuperado de http://sipan.inta.gov.ar/productos/ssd/vc/neuquen/ap/frambuesa_produccion.htm#Mano_de_obra_para_tareas_culturales_

Lantschner, M. V., Rusch, V. y Peyrou, C. (2008). “Bird assemblages in pine plantations replacing native ecosystems in NW Patagonia”. Biodiversity and conservation, N° 17, pp. 969-989.

Lantschner, M. V., Rusch, V. y Hayes, J. P. (2011). “Influences of pine plantations on small mammal assemblages of the Patagonian forest-steppe ecotone”. Mammalia, N° 75, pp. 249-255.

Lindenmayer, B. D. y Hobbs, R. J. (2004). “Fauna conservation in Australian plantation forests- a review”. ELSEVIER, Vol. 119, pp. 151-168.

MAGyP - Ministerio de Agricultura, Ganadería y Pesca (2012). Bases para el Ordenamiento Territorial Rural Argentino.

Medina, C. P., Pagpano, S., Michel, C. (2014). “Institucionalidad de las políticas territoriales”. En Paruelo J. M. et al. (ed.) Ordenamiento Territorial Rural: conceptos, métodos y experiencias. Argentina: Editorial Facultad de Agronomía (UBA).

Moran, N. (2017). “Planificar la biorregión, hacia un modelo enraizado del territorio”. En Prats, F., Herrero, Y. y Torrego, A., La gran encrucijada. Sobre la crisis ecosocial y el cambio de ciclo histórico. España: Libros en Acción.

Ochoa, J. J. y Ladio, A. H. (2015). “Plantas silvestres con órganos subterráneos comestibles: transmisión cultural sobre recursos subutilizados en la Patagonia (Argentina)”. Boletín Latinoamericano y del Caribe de Plantas Medicinales y Aromáticas, Vol. 14, N° 4, pp. 287-300.

Paruelo J. M., Jobbágy, E. G., Laterra, P. y Dieguez, H. (2014). Ordenamiento Territorial Rural: conceptos, métodos y experiencias. Argentina: Editorial Facultad de Agronomía (UBA).

Premoli, A. C., Aizen, M. A., Kitzberger, T. y Raffaele, E. (2005). Situación ambiental de los Bosques Patagónicos. Argentina: Fundación Vida Silvestre - Universidad Nacional del Comahue. Recuperado de http://www.fvsa.org.ar/situacionambiental/BAP.pdf.

Quiñones, M. M. (2016). Empleos verdes para un desarrollo sostenible: El caso Uruguayo. Suiza: Oficina Internacional del Trabajo.

Raffaele, E., Núñez, M. A. y Relva, M. A. (2015). “Plantaciones de coníferas exóticas en Patagonia: los riesgos de plantar sin un manejo adecuado”. Ecología Austral, Vol. 25, N° 2, pp. 89-92.

Román, M. (2014). “Metodologías multicriterio para el ordenamiento territorial”. En Paruelo J. M. et al. (ed.) Ordenamiento Territorial Rural: conceptos, métodos y experiencias. Argentina: Editorial Facultad de Agronomía (UBA).

Rusch, V., Vila, A., Lantchner, V y Marqués, B. (2015). Conservación de la biodiversidad en sistemas productivos. Fundamentos y prácticas aplicadas a forestaciones del Noroeste de la Patagonia. Argentina: Ministerio de Agroindustria.

SAGPyA - Secretaría de Agricultura, Ganadería, Pesca y Alimentos (1999). Argentina, oportunidades de inversión en bosques cultivados.

Sarasola, M. M., Rusch, V. E., Schlichter, T .M y Ghersa, C. M. (2006). “Invasión de coníferas forestales en áreas de estepa y bosques de ciprés de la cordillera en la Región Andino Patagónica”. Ecología Austral N° 16, pp. 143-156.

Secretaría de Energía de la Nación (2017). Censo Nacional de Hogares población y vivienda 2010. Recuperado de https://sig.se.gob.ar/visor/visorsig.php

Soriano, A. (1956). “Aspectos ecológicos y pastoriles de la vegetación patagónica relacionados con su estado y capacidad de recuperación”. Revista de Investigaciones Agrícolas Vol. 10, N° 4, pp. 349-372.

Soriano, A. y Paruelo, J. M. (1990). “El manejo de campos de pastoreo en Patagonia: Aplicación de principios ecológicos”. Ciencia Hoy, Vol. 2, N° 7, pp. 44-53.

Schlichter, T y Laclau, P. (1998). “Ecotono estepabosque y plantaciones en la Patagonia norte”. Ecología Austral, N° 8, pp. 285-296.

Stecher, G. (2011). Territorio, desarrollo e intervenciones institucionales en comunidades Mapuche (Tesis doctoral). Argentina: Universidad Nacional de Córdoba.

Stecher, G. y Valverde, S. (2012). “Los proyectos de desarrollo rural y forestal en contextos de pluriculturalidad. Las comunidades indígenas en la jurisdicción de la ‘Corporación Interestadual Pulmarí’”. Interações (Campo Grande), Vol 13, N° 2, pp. 169-180.

Svampa, M. (2011). “Extractivismo neodesarrollista y movimientos sociales ¿Un giro ecoterritorial hacia nuevas alternativas?” En Lang, M. y Mokrani, D. (ed.) Más allá del desarrollo. Ecuador: Fundación Rosa Luxemburgo - Abya Yala.

Tsakougmagkos, P. (2006). “Tres enfoques económicos de los problemas ambientales”. Revista Facultad de Agronomía Vol. 23, N° 3, pp. 213-223.

Zalazar, G., Trípodi, N., Stecher, G. y Fernandez, J. C. (s/f). El modelo productivo forestal sobre las Comunidades de Pueblos Originarios: producción, cultura y tradición. Neuquén.

 

 

 

 

ANEXOS

 

 

 

Anexo 1

 

Mapa del departamento de Huiliches que nos permite ver el área de distribución

de las comunidades Mapuches de la región

 

Imagen4422.PNG 

 

Fuente: Stecher, 2011.

 

Anexo 2

 

En la siguiente imagen podemos ver los rangos de porcentaje de NBI según el área del departamento de Huiliches en deciles.

 

Imagen4430.PNG
Imagen4430.PNG

 

 

Fuente: Elaboración propia en base a Secretaria de Energía de la Nación (2017)

 

Anexo 3

 

Cantidad de puestos de trabajos y salario de las tres actividades actuales del departamento de Huiliches con su ponderación.

 

C:\Windows\System32\config\systemprofile\Desktop\Captura.GIF 

Fuente: Elaboración propia en base a datos que han sido expuestos a lo largo del trabajo.

 

 

 

Anexo 4

 

En el siguiente grafico se observan las superficies destinada a cada actividad según el escenario:

 

Imagen4444.PNG 

Fuente: elaboración propia a través de QGis.

Anexo 5

 

En los siguientes gráficos se observa para cada criterio el promedio de la multiplicación entre la ponderación y la superficie que destinan los diferentes escenarios a cada una de las actividades.

 

Imagen4451.PNG 

Fuente: elaboración propia

 

Imagen4459.PNG 

Fuente: elaboración propia

 

Imagen4468.PNG 

Fuente: elaboración propia

 

Imagen4477.PNG 

Fuente: elaboración propia

 

Imagen4484.PNG 

Fuente: elaboración propia